-
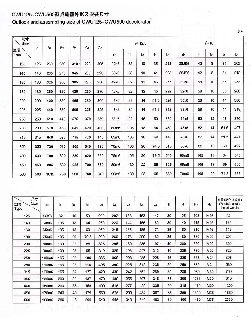
CWU圓弧齒蝸輪減速機

蝸輪蝸桿減速器一種新型的傳動裝置,其承載能力大,傳動效率高,結構緊湊,合理,主要適用于冶金、礦山、起重、運輸、石油、化工、建筑、橡塑、船舶等機械設備的減速傳動。
適用的工作條件Theworking:
a.兩軸交交錯角為90”
b.蝸桿轉速不超過1500r/min
c.蝸桿中間平面分度圓滑動速度不超過16m/s
d.工作環境溫度為O-40度當環境溫度低于0度或高于40c度時,潤滑油要相應加熱或冷卻
e.蝸桿軸可正、反向運轉